This post is an excerpt from the journal ISA Transactions. All ISA Transactions articles are free to ISA members, or can be purchased from Elsevier Press.
Abstract: This paper presents an adaptive terminal sliding mode control (ATSMC) strategy for DC-DC buck converters. The idea behind this strategy is to use the
terminal sliding mode control (TSMC) approach to assure finite time convergence of the output voltage error to the equilibrium point and integrate an adaptive law to
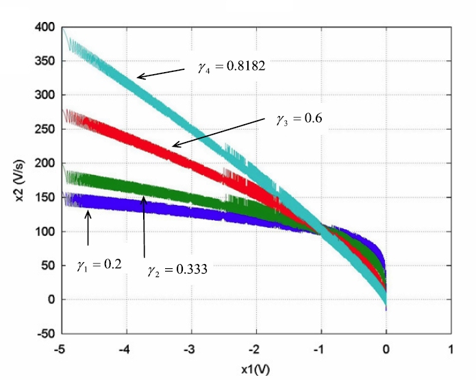
the TSMC strategy so as to achieve a dynamic sliding line during the load variations. In addition, the influence of the controller parameters on the performance of closed-loop system is investigated. It is observed that the start up response of the output voltage becomes faster with increasing value of the fractional power used in the sliding function. On the other hand, the transient response of the output voltage, caused by the step change in the load, becomes faster with decreasing the value of the fractional power. Therefore, the value of fractional power is to be chosen to make a compromise between start up and transient responses of the converter. Performance of the proposed ATSMC strategy has been tested through computer simulations and experiments. The simulation results of the proposed ATSMC strategy are compared with the conventional SMC and TSMC strategies. It is shown that the ATSMC exhibits a considerable improvement in terms of a faster output voltage response during load changes.
Free Bonus! To read the full version of this ISA Transactions article, click here.
ISA membership entitles you to free access to all ISA Transactions articles plus a wealth of technical content, industry information, free webinars, training opportunities, program discounts, certification and licensure and professional networking.
Click here to join ISA ... learn, advance, succeed![/dropshadowbox]
2006 Elsevier Science Ltd. All rights reserved.




