AutoQuiz is edited by Joel Don, ISA's social media community manager.
This automation industry quiz question comes from the ISA Certified Control Systems Technician (CCST) program. Certified Control System Technicians calibrate, document, troubleshoot, and repair/replace instrumentation for systems that measure and control level, temperature, pressure, flow, and other process variables. Click this link for more information about the CCST program.
The integral action, which is part of a PID algorithm, is often called:
A) rate
B) reset
C) gain
D) insert
E) none of the above
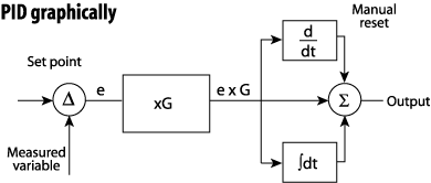
The three terms (proportional-integral-derivative) of the PID algorithm have other designations. Rate (answer A) action is another name for derivative control mode, and reset (answer B) is another name for integral control action.
The proportional term relates to the gain (answer C) in that the term gain, proportional is the ratio of the change in output caused by the proportional control action to the change in input. Answer D has no relationship to PID control.
Here is the PID algorithm:

Where:
G = gain
R = reset (repeats per minute)
D = derivative (minutes)

The correct answer is B.
About the Editor
Joel Don is the community manager for ISA and is an independent content marketing, social media and public relations consultant. Prior to his work in marketing and PR, Joel served as an editor for regional newspapers and national magazines throughout the U.S. He earned a master's degree from the Medill School at Northwestern University with a focus on science, engineering and biomedical marketing communications, and a bachelor of science degree from UC San Diego.



