This post is an excerpt from the journal ISA Transactions. All ISA Transactions articles are free to ISA members, or can be purchased from Elsevier Press.
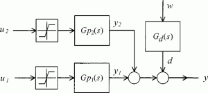
Abstract: In this paper output unreachability under input saturation phenomenon is studied: under a large disturbance or setpoint change, the process output may never reach the set point even when the manipulated variable has driven to saturation. The process output can be brought back to the set point only by activating an auxiliary manipulated variable. A new control structure for designing and implementing a control system capable of solving this problem is proposed by transferring the control from one variable to another and taking into account the different dynamics involved in the system. The control structure, called flexible-structure control due to its ability to adapt the control structure to the operating conditons, is a generalization of the split-range control. It can be summarized as two controllers connected through a piecewise linear function. This function decides, based on the value of one manipulated variable, when and how the control structure changes. Its parameters control the interaction between both manipulated variables and leave the capability for handling the balance between control quality and other goals to the operator.
Free Bonus! To read this technical article, click here.
Enjoy this technical resource article? Join ISA and get free access to all ISA Transactions articles as well as a wealth of other technical content, plus professional networking and discounts on technical training, books, conferences, and professional certification.
Click here to join ... learn, advance, succeed!
2006-2018 Elsevier Science Ltd. All rights reserved.




