This is from a series of articles reprinted from the journal ISA Transactions. All ISA Transactions articles are free to ISA members, or can be purchased from Elsevier Press.
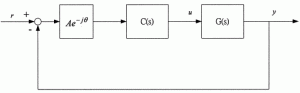
Abstract: In this paper, the Kharitonov theorem for interval plants is exploited for the purpose of synthesizing a stabilizing controller. The aim here is to develop a controller to simultaneously stabilize the four Kharitonov-defined vortex polynomials. Different from the prevailing works, the controller is designed systematically and graphically through the search of a non-conservative Kharitonov region in the controller coefficient parameter plane. The region characterizes all stabilizing PID controllers that stabilize an uncertain plant. Thus the relationship between the Kharitonov region and the stabilizing controller parameters is manifest. Extensively, to further guarantee the system with certain robust safety margins, a virtual gain phase margin tester compensator is added. Stability analysis is carried out. The control system is proved to maintain robustness at least to the pre-specified margins. The synthesized controller with coefficients selected from the obtained non-conservative Kharitonov region can stabilize the concerned uncertain plants and fulfill system speciffications in terms of gain margins and phase margins.
Free Bonus: To read the full article on PID tuning strategy for uncertain plants, click here.
ISA membership entitles you to free access to all ISA Transactions articles plus a wealth of technical content, industry information, free webinars, training opportunities, program discounts, certification and licensure and professional networking.
Join ISA ... learn, advance, succeed!




